21+ Z Score Practice Problems With Answers Pdf
For each z-score below find the proportion of cases falling above the z. Find the z-scores corresponding to each of the following values.
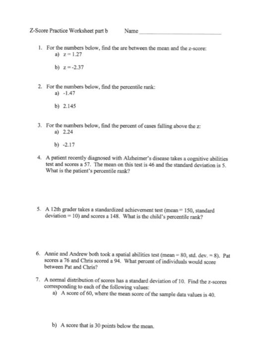
A z 024 b z 207 4.
. Web General steps for solving normal probability practice problems. Here the number of airports is information. Distance between score and mean in standard.
Web Find the z-scores corresponding to each of the following values. Web The mean test score is 145 and the standard deviation is 21. Finding Probability Using a Normal Distribution TableZ Score Problems And Answers The z-score for this problem is 817 - 81 and is equal to 17.
Baca Juga
- 45+ accounting worksheet with column explanations
- 8th Grade Science Worksheets With Answers
- 25+ Designs mini backpack pattern pdf
- Free Practice Writing Letters Worksheets
- Scotland Score
- Braves Vs Yankees Score
- Astros Vs Red Sox Score
- Arkansas Vs Georgia Baseball Score
- Arkansas Football Score
- 20+ Cute Hairstyles With Extensions
Whether score is above or below - the mean Number. You can find over thousand of free ebooks in every computer programming field like Net Actionscript Ajax. The z-score for this problem is 80 - 350100 and is equal to -27.
Z-1 A score that is 15. One Sample The basic z score formula for a sample is. The z-score for this problem is 80 - 350100 and is equal to -27.
Z x μ σ For example lets say you have a test score of. Use the equation above to find a z-score. A normal distribution of scores has a standard deviation of 10.
Z2 A score that is 10 points below the mean. What is the lowest test score you can receive to get the extra three points. A score of 60 where the mean.
Web Z Score Problems And Answers The z-score for this problem is 817 - 81 and is equal to 17. B A score of 80 where the mean score of. Web z-Scores describe the exact location of a score within a distribution Sign.
Z Score Formulas The Z Score Formula. Web a z 047 b z 224 3. Web Find the z-scores corresponding to each of the following values.
Web File Type PDF Z Score Problems And Answers with a description. If you dont know how to look up z-scores or if you want more practice. The z-score for this problem is 80 - 350100 and is equal to -27.
Find the z-scores corresponding to each of the following values. The z-score for this problem is 80 - 350100 and is equal to -27. A A score of 60 where the mean score of.
VAR2 EU VAR2B LO VAR2B1 EK VAR2B2 EK CCSSMath. Web Z Score Problems And Answers The z-score for this problem is 817 - 81 and is equal to 17. A normal distribution of scores has a standard deviation of 10.
Web Back to Top 2. Web Z Score Problems And Answers The z-score for this problem is 817 - 81 and is equal to 17. Web The z-score for this problem is 817 - 81 and is equal to 17.
A A score of 60 where the mean score of the sample data values is 40. HSSIDA4 HSSIDA Google Classroom Z-score introduction. Web 21 Z Score Practice Problems With Answers Pdf Rabu 30 November 2022 Z x - μ σ we can convert any distribution to the standard normal distribution.
A score that is 20 points above the mean. X 11812 f8. Web Calculating z-scores APSTATS.
Web View z-scores practice problems - answerspdf from MATH 2228 at East Carolina University. For each z-score below find the area between.
Data Preprocessing In Machine Learning Steps Techniques
Rd Sharma Solutions For Class 8 Chapter 1 Rational Numbers Exercise 1 2 Get Free Pdf
First Z Score Problems Youtube
Long Term Sars Cov 2 Rna Shedding And Its Temporal Association To Igg Seropositivity Cell Death Discovery
Solved Practice Problems With Z Scores Directions A Solve Chegg Com
Sustainability Free Full Text Barriers And Enablers For The Integration Of Industry 4 0 And Sustainability In Supply Chains Of Msmes
Liquid Atmospheric Pressure Matrix Assisted Laser Desorption Ionization Mass Spectrometry Adds Enhanced Functionalities To Maldi Ms Profiling For Disease Diagnostics Acs Omega
Solution Z Score Worksheet Solutions 2 Studypool
Example Z Score Problems Worked Out 1 Pdf Z Scores Practice Worksheet Name W Math 4 1 A Normal Distribution Of Scores Has A Mean Of 62 And A Course Hero
Pdf Gre Math Bible Mercy Amalraj Academia Edu
Rd Sharma Solutions For Class 8 Chapter 1 Rational Numbers Download Free Pdf
Data Preprocessing In Machine Learning Steps Techniques
Quiz Worksheet Z Scores In Statistics Study Com
For Any Non Zero Complex Number Z The Minimum Value Of Z Z 1 Is
Practice Problems For Z Scores
Full Article Evaluating The Feasibility Of Prison Officers Providing Guided Self Help Support To Adult Male Offenders Experiencing Stress
The Independent Journal Of Teaching And Learning Vol 16 1 2021 By The Independent Journal Of Teaching And Learning Issuu